Gerd Kaupp*, Jens Schmeyers
Fachbereich 9 - Org. Chemistry I - University of Oldenburg, Germany
http://kaupp.chemie.uni-oldenburg.de
Introduction
E/Z-photoisomerizations of polyenes in confined media are of importance in biology (e.g. of rhodopsin or of the yellow protein). E/Z-isomerizations of C=C double bonds in the highly confined crystalline state have been summarized and their solid-state mechanisms investigated with AFM.[1,2] Long-range molecular movements were observed that correlate with the crystal structure. Chemically, rotational mechanisms were judged possible for Z-2-benzylidene-butyrolactone and Z-1,2-bis-1-naphthyl-ethene by molecular modelling in fixed lattices with the criterium that no van der Waals short distances below 75 % of their normal values should be allowed up to a total of 90° rotation.[1] We now address the case of E-1,2-dibenzoyl-ethene (trans-DBE; P21/c) which was reported to give the Z-isomer (cis-DBE; P21) in a single crystal to single crystal manner[3] even though the molecular shapes change drastically and also the space group changes. The claim was based on a Weissenberg photograph; the reverse photoreaction was not occuring; the yields were not given. Neither the crystal lattice of trans-DBE[3] nor the one of cis-DBE[4] allow for internal rotations with only moderate van der Waals interactions and the reaction cannot be topotactic according to the <4 % lattice change criterion.[5] We therefore revisited the solid-state photolysis of DBE and report our new findings.
Experimental
Solid-state photolyses were performed using a high pressure mercury lamp (Hanau HPK 125) with a bandpass filter, Wertheimer UVW-55, isolating the 365 nm emission (2.8 % 334 nm; <1% transmission at 315 nm and 410 nm) or a Pyrex filter. In the AFM measurements[1] a monochromator was used for isolating the 405 nm emission (bandpass 9.6 nm). The irradiations on the AFM stage were performed from 20 cm distance or with a lens focussing the nearly parallel beam to the mounted crystal. Yield determinations used 1H-NMR-analysis. Crystals of trans- and chromatographed cis-DBE were grown from ethanol and acetone respectively, by slow evaporation.
Results
Irradiation of trans-DBE in 1 g quantities for 16 h (Pyrex) or 9 h (Pyrex or UVW-55) gave a 30 % or 17 % yield of cis-DBE. The crystals became turbid and disintegrated. Irradiation of the (001)-surface of trans-DBE at 405 nm in the absorption tail of the slighthly yellow crystals gave the expected surface features due to the long-range molecular movements as shown in Figure 1b.

Click on the Image for better Quality
A VRML-Plugin (e.g. Cosmo-Player) is required to view the following Images !
VRML Image of Fig 1 a (low resolution, zipped - 45 kB)
VRML Image of Fig 1 b (low resolution, zipped - 43 kB)
VRML Image of Fig 1 c (low resolution, zipped - 43 kB)
VRML Image of Fig 1 d (low resolution, zipped - 59 kB)
The occurence of far-reaching anisotropic molecular movements can be directly seen. Vertical floes align along [010] in Figure 1b. In the more intense shorter wavelength irradiations with a differently oriented crystal (66°), very high floes are formed that continue to grow, however, their orientation is no longer uniform. One direction of preference is still along the b-axis however, further directions are used equally well in Figures 1c,d. Apparently, we see phase rebuilding[1] in Figure 1b and already phase transformation[1] in Figures 1c,d. The latter step is less strictly guided by the initial crystal packing than the former.
The photostability of crystalline cis-DBE was also probed with the enormous sensitivity of the AFM. The images in Figure 2 show, that there is apart from some slight smoothening no significant change

Click on the Image for better Quality
A VRML-Plugin (e.g. Cosmo-Player) is required to view the following Images !
VRML Image of Fig 2 a (low resolution, zipped - 63 kB)
VRML Image of Fig 2 b (low resolution, zipped - 63 kB)
upon intense Pyrex-filtered irradiation in accordance with the literature report[3] and our preparative tests. This fact is unusual, because that type of solid-state photoisomerizations usually proceeds from the more crowded to the less crowded stereoisomer. We thus address the questions (i) why is trans-DBE photoreactive and (ii) why is cis-DBE not photoreactive in the crystalline state.
Discussion
The interpretation of anisotropic molecular movements and photoreactivities in the solid-state requires a detailed study of the crystal packing. In sterically demanding cases like E/Z-isomerizations one has to judge how any free space in the crystal might be used for the reaction to occur and to start the phase rebuilding. These questions can be answered by use of the stereoscopic packing diagrams in Figures 3 and 4 that by necessity deal with rather large sections of the crystals.


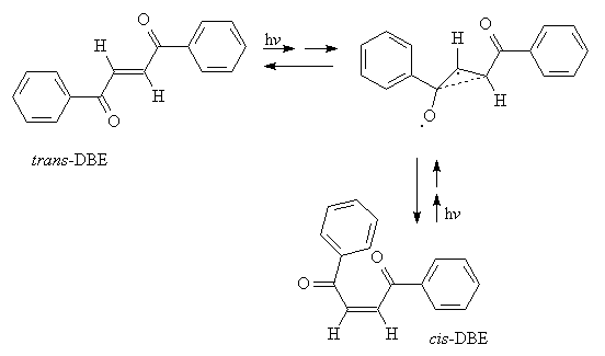
The analysis of the packing arrangements in the Figures 3 and 4 shows that there is not enough free space for the modelling of a cooperative rotational mechanism. Thus rotations in opposite directions at the ends of the double bonds in the fixed lattices become impossible at about ±20° for all different positions in both cases due to excessive interactions. Furthermore, the neighboring molecules do not have much freedom, unlike the situation in the previously analyzed cases.[1] However, inspection of the crystal lattices in Figures 3, 4 indicates, that E/Z-isomerization may be geometrically feasible if the benzoyl groups do not rotate with the double bond C but move approximately in the same plane which they occupy while one of the C-H groups of the double bond turns by 180°. Such a mechanism resembles the so-called "hula twist" movements that have been described for 1,3,5-hexatrienes[6] and is formulated in Scheme 1.

The main feature is, that the benzoyl group does practically not leave its plane, making this mechanism sterically feasible for Figure 3 and for Figure 4, even though the back photoreaction is not observed in the crystal for other reasons to be discussed below. Anyhow, there is probably enough energy accumulated after light absorption for the deactivation via a biradical like multicenter bonded three-membered ring.
It remains to rationalize the unidirectional behavior and the anisotropy in the molecular movements of the phase rebuilding step in Figure 1b. The packing diagrams give a clue for the understanding of both observations. It can be nicely seen from Figure 4 that the bent molecules are so heavily interlocked, that any far-reaching molecular movements are efficiently impeded. As any alleged trans-DBE molecule, which cannot fit the lattice due to its totally different shape, could not start such movements, the presumed photolysis of cis-DBE to give trans-DBE does not work. Further examples for non-reactivity due to 3D-interlocking have been collected and discussed in Ref.[1b].
On the other hand, Figure 3 shows a layered structure of trans-DBE crystals. Geometrically totally different cis-DBE does not fit into the lattice and can thus start the far-reaching molecular movements along these glide planes. It is highly gratifying to see in Figure 1b, that the direction of the glide planes that are parallel to (100) corresponds to the direction chosen by the floes that extend in b-direction along the long crystal axis. The complete preference is lost at higher conversions in the surface area: exiting material creates holes and submicrocracks that will be used for further molecular movements. Additionally, when the product crystals form in the phase transformation, they do not necessarily require the help of the initial lattice and indeed, the surface between the features has also changed due to photoreaction (see Figure 1).
Conclusions
A single crystal to single crystal reaction[3] has not been confirmed for the photolysis of trans-DBE. Rather long-range molecular movements were found that are strictly guided by the crystal packing during the initial phase rebuilding step. The chemical process must choose the sterically least demanding option. The nonreactivity of cis-DBE is rationalized by the obvious impossibility for long-range molecular movements in its crystals. The distinction between rotational and twist mechanism in solid-state E/Z-photoisomerizations in cases where both appear feasible will require techniques such as femtosecond spectroscopy, however, the solid-state mechanisms have to be investigated first. It is to be expected that SNOM measurements (scanning near-field optical microscopy)[1a] will again show that features and changed surface have the same chemical composition. Such experiments will be reported soon.
Literature
[1] a) G. Kaupp, M. Haak, Angew. Chem. 1996, 108, 2948-2951; G. Kaupp, M. Haak, Angew. Chem. Int. Ed. Engl. 1996, 35, 2774-2777;
b) G. Kaupp, in Comprehensive Supramolecular Chemistry, ed. J.E.D. Davies and J.A. Ripmeester, Elsevier, Oxford 1996, Vol. 8, p. 381-423 and 21 color plates.
[2] G. Kaupp, Adv. Photochem. 1995, 19, 119-177.
[3] J.C.J. Bart, G.M.J. Schmidt, Recl. Trav. Chim. Pays-Bas, 1978, 97, 231-238.
[4] D. Rabinovich, G.M.J. Schmidt, Z. Shaked, J. Chem. Soc. B, 1970, 17-24.
[5] H. Nakanishi, W. Jones, J.M. Thomas, M.B. Hursthouse, M. Motevalli, J. Chem. Soc. Chem. Commun., 1980, 611-612; J. Phys. Chem., 1981, 24, 3636-3642; H. Nakanishi, W. Jones, J.M. Thomas, Chem. Phys. Lett., 1980, 71, 44-48.
[6] A.M. Müller, S. Lochbrunner, W.E. Schmid, W. Fuß, Angew. Chem., 1998, 110, 520-522; A.M. Müller, S. Lochbrunner, W.E. Schmid, W. Fuß, Angew. Chem. Int. Ed. Engl., 1998, 37, 505-507.